辽宁2025高考各批次录取分数线一览表(特控线、本专科线) 附一分一段表完整版
时间:
辽宁 高考新闻
2025年辽宁省高考各批次录取分数线已经正式公布。普通类历史学科类特殊类型招生控制分数线为522分,本科控制分数线437分,专科(高职、提前专科)控制分数线150分;普通类物理学科类特殊类型招生控制分数线515分,本科控制分数线367分,专科(高职、提前专科)控制分数线150分。

2025辽宁高考录取分数线汇总
| 批次 | 分数 | 排名 | 科类 |
| 本科批 | 437 | 26916 | 历史类 |
| 特殊类型招生控制线 | 522 | 11183 | 历史类 |
| 专科批 | 150 | 56324 | 历史类 |
| 艺术类 (本科) | 327 | 47189 | 历史类 |
| 艺术类 (高职专科) | 150 | 56324 | 历史类 |
| 体育类 (本科) | 150 | 56324 | 历史类 |
| 体育类 (高职专科) | 150 | 56324 | 历史类 |
| 艺术类 (本科) (舞蹈类、表 (导)演类的戏剧影视表演、表 (导)演类的服装表演、音乐类的音乐表演专业) | 250 | 54741 | 历史类 |
| 本科批 | 367 | 118109 | 物理类 |
| 特殊类型招生控制线 | 515 | 49156 | 物理类 |
| 专科批 | 150 | 143368 | 物理类 |
| 艺术类 (本科) | 275 | 138664 | 物理类 |
| 艺术类 (高职专科) | 150 | 143368 | 物理类 |
| 体育类 (本科) | 150 | 143368 | 物理类 |
| 体育类 (高职专科) | 150 | 143368 | 物理类 |
| 艺术类 (本科) (戏曲类) | 183 | 143215 | 物理类 |
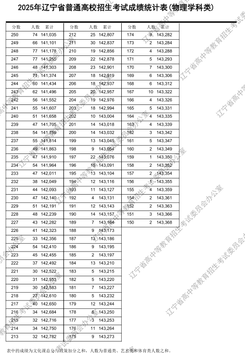
2025辽宁高考一分一段表汇总
使用一分一段表时,考生首先应找到自己的高考分数,然后查看该分数对应的"本段人数"和"累计人数"。累计人数反映了全省范围内有多少考生的分数等于或高于你的分数,这就是你的实际排名。通过这个排名,结合往年高校录取位次数据,就能更准确地评估自己被目标院校录取的可能性。
物理类




历史类





